1.Ò¶ÂÌËØÓ«¹âÕÉÁ¿ÓÐÄÄЩÖ÷ÒªÊÖÒÕ£¿£¿£¿£¿£¿£¿ÓÐûÓÐÄÄÖÖÒÇÆ÷¿ÉÒÔͬʱʵÏÖÕâЩÕÉÁ¿ÊÖÒÕ£¿£¿£¿£¿£¿£¿
´ð£ºÒ¶ÂÌËØÓ«¹âÊÖÒÕÓÐÈýÖÖÖ÷ÒªÕÉÁ¿ÊÖÒÕõè¾¶£º
1)PAMÂö³åµ÷ÖÆÊ½Ò¶ÂÌËØÓ«¹âÊÖÒÕ£ºÕÉÁ¿PAMÓ«¹â´ãÃð¶¯Á¦Ñ§ÇúÏß
2)Ö±½ÓÒý·¢Ê½£¨·Çµ÷ÖÆÊ½£©Ò¶ÂÌËØÓ«¹âÊÖÒÕ£ºÕÉÁ¿OJIP¿ìËÙÓ«¹âÓÕµ¼ÇúÏß
3)Ë«µ÷ÖÆÊ½Ò¶ÂÌËØÓ«¹âÊÖÒÕ£ºÊ±¼äÇø·ÖÂÊ¿ÉÒÔµÖ´ï1΢Ã룬£¬£¬£¬£¬£¬£¬£¬ÓÃÓÚÕÉÁ¿QA-ÔÙÑõ»¯¶¯Á¦Ñ§ÇúÏß¡¢S-state¡¢µ¥ÖÜת»ò¶àÖÜת±¥ºÍ¹âÉÁ¿ìËÙÓ«¹â¶¯Á¦Ñ§µÈ
4)ÆäËüÒ¶ÂÌËØÓ«¹âÕÉÁ¿ÊÖÒÕ£ºÈ缤¹âÓÕµ¼£¨LIF£©Ò¶ÂÌËØÓ«¹âÕÉÁ¿¡¢Ì«Ñô¹âÓÕµ¼Ò¶ÂÌËØÓ«¹â£¨Solar-induced Chlorophyll Fluorescence£¬£¬£¬£¬£¬£¬£¬£¬SIF£©ÕÉÁ¿µÈ£¨°Ý¼û±¾ÌõºóÃæÏÈÈÝ£©
ÏÖÔÚ£¬£¬£¬£¬£¬£¬£¬£¬Äܹ»Í¬Ê±Íê³ÉÉÏÊö1£©ÖÁ3£©ÈýÖÖÓ«¹â¶¯Á¦Ñ§ÇúÏßÕÉÁ¿µÄÒÇÆ÷Ö»ÓÐFL6000Ë«µ÷ÖÆÒ¶ÂÌËØÓ«¹âÒÇ¡¢ FluorCam¹Ø±Õʽӫ¹â³ÉÏñϵͳºÍFKM¶à¹âÆ×Ó«¹â¶¯Ì¬ÏÔ΢³ÉÏñϵͳ¡£¡£¡£¡£¡£¡£¡£¡£¶øÓÉÓÚOJIP¿ìËÙÓ«¹â¶¯Á¦Ñ§ÇúÏߺÍQA-ÔÙÑõ»¯¶¯Á¦Ñ§ÇúÏßµÐÊÖÒÕµÄÌØÊâÒªÇ󣬣¬£¬£¬£¬£¬£¬£¬¶ÔÕâÁ½ÖÖÇúÏߵijÉÏñÆÊÎö¸üÊÇÖ»ÓÐFluorCam¹Ø±Õʽӫ¹â³ÉÏñϵͳºÍFKM¶à¹âÆ×Ó«¹â¶¯Ì¬ÏÔ΢³ÉÏñϵͳÄܹ»ÊµÏÖ¡£¡£¡£¡£¡£¡£¡£¡£

×óͼ£º FL6000Ë«µ÷ÖÆÒ¶ÂÌËØÓ«¹âÒÇ£»£»£»£»£»ÖÐͼ£ºFluorCam¹Ø±Õʽӫ¹â³ÉÏñϵͳ£»£»£»£»£»ÓÒͼ£ºFKM¶à¹âÆ×Ó«¹â¶¯Ì¬ÏÔ΢³ÉÏñϵͳ
³¬»ýÀÛÖ²ÎïÊó¶ú½æÔÚCd/Zn´¦Öóͷ£ºóµÄOJIP³ÉÏñͼÓëOJIP¶¯Á¦Ñ§ÇúÏߣ¨Morina, 2020£©
³¬»ýÀÛÖ²ÎïÊó¶ú½æÔÚCd/Zn´¦Öóͷ£ºóµÄPAMÓ«¹â´ãÃðÏÔ΢³ÉÏñͼÓëQA-ÔÙÑõ»¯¶¯Á¦Ñ§ÆÊÎö£¨Morina, 2020£©
º£ÑóÖ®Éñ590¹ÙÍøÈë¿ÚÉú̬ÊÖÒÕ¹«Ë¾ÌṩҶÂÌËØÓ«¹âÊÖÒÕÖÜÈ«½â¾ö¼Æ»®£¬£¬£¬£¬£¬£¬£¬£¬³ý¹Å°åµÄPAMÊÖÒÕ¡¢OJIPÕÉÁ¿ÊÖÒÕ¡¢Ë«µ÷ÖÆÊÖÒÕÍ⣬£¬£¬£¬£¬£¬£¬£¬»¹ÌṩҶÂÌËØÓ«¹â¸ß¹âÆ×³ÉÏñºÍ¼¤¹âÓÕµ¼£¨LIF£©Ò¶ÂÌËØÓ«¹â¸ß¹âÆ×³ÉÏñÊÖÒռƻ®£¬£¬£¬£¬£¬£¬£¬£¬²»µ«¿ÉÒÔÆÊÎöÖ²ÎïÒ¶ÂÌËØÓ«¹â¶þάÒìÖÊÐÔÂþÑÜ£¬£¬£¬£¬£¬£¬£¬£¬»¹½øÒ»²½´Ó¸ß¹âÆ×γ¶ÈÆÊÎöÒ¶ÂÌËØÓ«¹â¹âÆ×ÌØÕ÷£¬£¬£¬£¬£¬£¬£¬£¬²¢³ÉÏñÆÊÎöFr£¨Ò¶ÂÌËØÓ«¹âºìÉ«·åÖµ£©¡¢Ffr£¨Ò¶ÂÌËØÓ«¹âÔ¶ºì·åÖµ£©¡¢Fr/Ffr¡¢F735/F700£¨ÓëÒ¶ÂÌËØÅ¨¶È³ÊÖ±ÏßÏà¹Ø£©¼°»ùÓÚÒ¶ÂÌËØÓ«¹â²î±ð·åÖµ£¨ºìÉ«·åÖµFrºÍÔ¶ºì·åÖµFfrµÈ£©µÄÒ¶ÂÌËØÓ«¹â²ÎÊý¡£¡£¡£¡£¡£¡£¡£¡£LIFÒ¶ÂÌËØÓ«¹â¸ß¹âÆ×³ÉÏñÊÖÒÕ¿ÉʵÏÖ´óÌïÒ¶ÂÌËØÓ«¹â½üµØÒ£¸ÐÕÉÁ¿¡£¡£¡£¡£¡£¡£¡£¡£

×óͼ£ºÒ¶ÂÌËØÓ«¹â²ÎÊýFr/Ffr³ÉÏñ£»£»£»£»£»ÓÒͼ£ºÒ¶ÂÌËØÓ«¹â¹âÆ×£¨º£ÑóÖ®Éñ590¹ÙÍøÈë¿Ú¹âÆ×³ÉÏñÓëÎÞÈË»úÒ£¸ÐÑо¿ÖÐÐÄÌṩ£©
2.ÕÉÁ¿Ò¶ÂÌËØÓ«¹âµÄ¹âԴΪʲô×îºÃ¾ß±¸Á½ÖÖÒÔÉÏÑÕÉ«£¿£¿£¿£¿£¿£¿Ê²Ã´ÑÕÉ«µÄ¹âÔ´×îºÃ£¿£¿£¿£¿£¿£¿
´ð£ºÔÚFluorCamÒ¶ÂÌËØÓ«¹â³ÉÏñϵͳÖÐÒ»Ñùƽ³£ÍƼöµÄ¹âÔ´×é³ÉÊÇÕâÑùµÄ£º
5)ÕÉÁ¿¹â£ººì¹â
6)¹â»¯¹â£ººì¹â+°×¹â»òºì¹â+À¶¹â
7)±¥ºÍÂö³å¹â£º°×¹â»òÀ¶¹â
ÔÚÂö³åµ÷ÖÆÊÖÒÕÖУ¬£¬£¬£¬£¬£¬£¬£¬ÕÉÁ¿¹â×îÖ÷ÒªµÄ×÷ÓÃÊÇÕÉÁ¿×îСӫ¹âF0¡£¡£¡£¡£¡£¡£¡£¡£¶øÔÚÒý·¢F0ʱ£¬£¬£¬£¬£¬£¬£¬£¬ÒªÇó¹â·´Ó¦ÖÐÐIJ»±¬·¢µçºÉÊèÉ¢ºÍÈȺÄÉ¢¡£¡£¡£¡£¡£¡£¡£¡£ÔÚÒý·¢Ò¶ÂÌËØÓ«¹âµÄ¿É¼û¹â²¨¶ÎÖУ¬£¬£¬£¬£¬£¬£¬£¬ºì¹â²¨³¤×£¬£¬£¬£¬£¬£¬£¬£¬Äܼ¶×îµÍ£¬£¬£¬£¬£¬£¬£¬£¬Äܹ»È·±£Ò¶ÂÌËØ·Ö×Ó±»Òý·¢µ½½ÏµÍµÄÒý·¢Ì¬¡£¡£¡£¡£¡£¡£¡£¡£¶øÀ¶¹âµÈ²¨³¤½Ï¶ÌµÄ¹âÔÚÒý·¢Ò¶ÂÌËØÓ«¹âʱÔò¿ÉÄÜÔì³ÉÈȺÄÉ¢¡£¡£¡£¡£¡£¡£¡£¡£Òò´Ëºì¹â×î¼ÑµÄÓ«¹âÕÉÁ¿¹âÔ´¡£¡£¡£¡£¡£¡£¡£¡£
×ó£ºÓ«¹â´ãÃðÕÉÁ¿Àú³ÌÖÐqNÓëqPµÄת±ä£»£»£»£»£»ÓÒ£ººì¹âºÍÀ¶¹âÒý·¢Ò¶ÂÌËØÓ«¹âµÄ²î±ð
Ôڹ⻯¹âºÍ±¥ºÍ¹âµÄÑ¡ÔñÉÏ£¬£¬£¬£¬£¬£¬£¬£¬ÔòÖ÷Ҫ˼Á¿Ó«¹âÒý·¢Ð§ÂÊÎÊÌ⣬£¬£¬£¬£¬£¬£¬£¬ÕâÓëÖ²Îï/ÔåÀàÑùÆ·ÖйâºÏÉ«ËØµÄÎüÊÕ¹âÆ×ÊÇÇ×½üÏà¹ØµÄ¡£¡£¡£¡£¡£¡£¡£¡£ÈçÏÂͼ¿É¼û£¬£¬£¬£¬£¬£¬£¬£¬ºì¹âºÍÀ¶¹â¶ÔÓ¦Ò¶ÂÌËØÎüÊշ壬£¬£¬£¬£¬£¬£¬£¬Òý·¢Ò¶ÂÌËØÓ«¹âЧÂÊ×î¸ß£¬£¬£¬£¬£¬£¬£¬£¬Ò²¿ÉÓÃÓÚÑо¿Ö²Îï/ÔåÀà¶Ô²î±ð¹âÖʵÄÏìÓ¦¡£¡£¡£¡£¡£¡£¡£¡£°×¹âÊÇÒ»Á¬¹âÆ×£¬£¬£¬£¬£¬£¬£¬£¬¿ÉÄ£Äâ×ÔÈ»¹â£¬£¬£¬£¬£¬£¬£¬£¬Í¬Ê±¼æ¹ËÖÖÖÖ¹âºÏÉ«ËØ¡£¡£¡£¡£¡£¡£¡£¡£ºì¹âÄܼ¶½ÏµÍ£¬£¬£¬£¬£¬£¬£¬£¬Ò»Ñùƽ³£²»ÍƼö×÷Ϊ±¥ºÍÂö³å¹âÔ´¡£¡£¡£¡£¡£¡£¡£¡£FluorCamÒ²¿É¶¨ÖÆÆäËû²¨¶Î¹âÔ´Õë¶ÔÌØ¶¨ÑùÆ·£¬£¬£¬£¬£¬£¬£¬£¬ÓÈÆäÊÇÔåÀàÑùÆ·£¬£¬£¬£¬£¬£¬£¬£¬ºÃ±È590 nmçúçê¹â¡¢530nmÇà¹â¡¢505nmÂ̹âµÈ¡£¡£¡£¡£¡£¡£¡£¡£

Á½ÖÖ»òÁ½ÖÖÒÔÉϹ⻯ѧ¹âµÄÁíÒ»¸öÓÅÊÆÊÇ£¬£¬£¬£¬£¬£¬£¬£¬¿É¾ÙÐвî±ð¹âÖʹâºÍЧÂÊÑо¿¼°¹âÉúÎïѧÑо¿£¬£¬£¬£¬£¬£¬£¬£¬ÈçÏÂͼËùʾ£¨Òý×ÔSander W. HogewoningµÈ£¬£¬£¬£¬£¬£¬£¬£¬Blue light dose-responses of leaf photosynthesis, morphology, and chemical composition of Cucumis sativus grown under different conbinations of red and blute light. Journal of Experimental Botany, 2010£©

3.FluorCamÓÐÄÄЩPAMÂö³åµ÷ÖÆÕÉÁ¿¹¦Ð§Óë²ÎÊý£¿£¿£¿£¿£¿£¿
´ð£ºFluorCamÖ÷ÒªµÄPAMÂö³åµ÷ÖÆÕÉÁ¿¹¦Ð§ºÍ»ñµÃµÄ²ÎÊýÈçÏ£º
?Fv/Fm£ºÕÉÁ¿²ÎÊý°üÀ¨F0£¬£¬£¬£¬£¬£¬£¬£¬Fm£¬£¬£¬£¬£¬£¬£¬£¬Fv£¬£¬£¬£¬£¬£¬£¬£¬Fv/ FmµÈ
?KautskyÓÕµ¼Ð§Ó¦£ºF0£¬£¬£¬£¬£¬£¬£¬£¬Fp£¬£¬£¬£¬£¬£¬£¬£¬Fv£¬£¬£¬£¬£¬£¬£¬£¬Ft_Lss£¬£¬£¬£¬£¬£¬£¬£¬QY£¬£¬£¬£¬£¬£¬£¬£¬RfdµÈÓ«¹â²ÎÊý
?Ó«¹â´ãÃðÆÊÎö£ºF0£¬£¬£¬£¬£¬£¬£¬£¬Fm£¬£¬£¬£¬£¬£¬£¬£¬Fp£¬£¬£¬£¬£¬£¬£¬£¬Fs£¬£¬£¬£¬£¬£¬£¬£¬Fv£¬£¬£¬£¬£¬£¬£¬£¬Fv/ Fm£¬£¬£¬£¬£¬£¬£¬£¬QY£¬£¬£¬£¬£¬£¬£¬£¬F0¡¯£¬£¬£¬£¬£¬£¬£¬£¬Fm¡¯£¬£¬£¬£¬£¬£¬£¬£¬Fv¡¯/ Fm¡¯£¬£¬£¬£¬£¬£¬£¬£¬NPQ£¬£¬£¬£¬£¬£¬£¬£¬qP£¬£¬£¬£¬£¬£¬£¬£¬Rfd£¬£¬£¬£¬£¬£¬£¬£¬qN£¬£¬£¬£¬£¬£¬£¬£¬qLµÈ
?¹âÏìÓ¦ÇúÏߣºF0£¬£¬£¬£¬£¬£¬£¬£¬Fm£¬£¬£¬£¬£¬£¬£¬£¬Fv/ Fm£¬£¬£¬£¬£¬£¬£¬£¬²î±ð¹âÇ¿ÏÂQY£¬£¬£¬£¬£¬£¬£¬£¬Fv¡¯/ Fm¡¯£¬£¬£¬£¬£¬£¬£¬£¬NPQ£¬£¬£¬£¬£¬£¬£¬£¬qP£¬£¬£¬£¬£¬£¬£¬£¬ETRµÈ
Ïêϸ²ÎÊý¿É²ÎÔÄÏÂ±í£º
²ÎÊý·ûºÅ¿´·¨ÐÎò
²ÎÊý·ûºÅ |
¿´·¨ÐÎò |
Fo |
°µË³Ó¦ºóµÄ×îСӫ¹â |
Fo_Dn |
°µ³ÚÔ¥Àú³ÌÖеÄ×îСӫ¹â£¬£¬£¬£¬£¬£¬£¬£¬D´ú±í°µ³ÚÔ¥Àú³Ì£¬£¬£¬£¬£¬£¬£¬£¬n´ú±íÕÉÁ¿Àú³ÌÖеÚn´Î±¥ºÍÂö³å»ñµÃµÄÊý¾Ý£¬£¬£¬£¬£¬£¬£¬£¬ÏÂͬ |
Fo_Ln |
¹â˳ӦÀú³ÌÖеÄ×îСӫ¹â£¬£¬£¬£¬£¬£¬£¬£¬L´ú±í¹â˳ӦÀú³Ì£¬£¬£¬£¬£¬£¬£¬£¬ÏÂͬ |
Fo_Lss |
¹âÎÈ̬×îСӫ¹â£¬£¬£¬£¬£¬£¬£¬£¬ssΪsteady-stateËõд£¬£¬£¬£¬£¬£¬£¬£¬´ú±íÎÈ̬£¬£¬£¬£¬£¬£¬£¬£¬ÏÂͬ |
Fm |
°µË³Ó¦ºóµÄ×î´óÓ«¹â |
Fm_Dn |
°µ³ÚÔ¥Àú³ÌÖеÄ×î´óÓ«¹â |
Fm_Ln |
¹â˳ӦÀú³ÌÖеÄ×î´óÓ«¹â |
Fm_Lss |
¹âÎÈ̬×î´óÓ«¹â |
Fp |
¹â˳ӦÀú³Ì³õʼ½×¶ÎµÄ·åÖµÓ«¹â |
Ft_Dn |
°µ³ÚÔ¥¼´Ê±Ó«¹â |
Ft_Ln |
¹â˳Ӧ¼´Ê±Ó«¹â |
Ft_Lss |
¹â˳ӦÎÈ̬ӫ¹â |
Fv |
°µË³Ó¦ºóµÄ¿É±äÓ«¹â£¬£¬£¬£¬£¬£¬£¬£¬=Fm-Fo |
NPQ_Dn |
°µ³ÚÔ¥Àú³ÌÖеķǹ⻯ӫ¹â´ãÃ𣬣¬£¬£¬£¬£¬£¬£¬£½(Fm-Fm_Dn)/Fm_Dn |
NPQ_Ln |
¹â˳ӦÀú³ÌÖеķǹ⻯ӫ¹â´ãÃ𣬣¬£¬£¬£¬£¬£¬£¬£½(Fm-Fm_Ln)/Fm_Ln |
NPQ_Lss |
¹âÎÈ̬·Ç¹â»¯Ó«¹â´ãÃ𣬣¬£¬£¬£¬£¬£¬£¬£½(Fm-Fm_Lss)/Fm_Lss |
qP_Dn |
°µ³ÚÔ¥Àú³ÌÖеĹ⻯ѧӫ¹â´ãÃ𣬣¬£¬£¬£¬£¬£¬£¬£½(Fm_Dn?Ft_Dn)/Fm_Dn?Fo_Dn |
qP_Ln |
»ùÓÚ¡°Puddle¡±Ä£×ӵĹâ˳ӦÀú³ÌÖеĹ⻯ѧ´ãÃ𣬣¬£¬£¬£¬£¬£¬£¬£½(Fm_Ln?Ft_Ln)/(Fm_Ln?Fo_Ln) |
qP_Lss |
»ùÓÚ¡°Puddle¡±Ä£×ӵĹâÎÈ̬¹â˳Ӧ¹â»¯Ñ§´ãÃ𣬣¬£¬£¬£¬£¬£¬£¬£½(Fm_Lss?Ft_Lss)/(Fm_Lss?Fo_Lss) |
qL_Ln |
»ùÓÚ¡°Lake¡±Ä£×ӵĹâ˳ӦÀú³ÌÖеĹ⻯ѧ´ãÃ𣬣¬£¬£¬£¬£¬£¬£¬£½qP_ Ln¡Á(Fo_ Ln /Ft_ Ln) |
qL_Lss |
»ùÓÚ¡°Lake¡±Ä£×ӵĹâÎÈ̬¹â˳Ӧ¹â»¯Ñ§´ãÃ𣬣¬£¬£¬£¬£¬£¬£¬£½qP_Lss¡Á(Fo_Lss /Ft_Lss) |
QY_Dn |
°µ³ÚÔ¥Àú³ÌÖеÄÏÖʵ¹âÁ¿×ÓЧÂÊ£¬£¬£¬£¬£¬£¬£¬£¬£½(Fm_Dn?Ft_Dn)/Fm_Dn |
QY_Ln |
¹â˳ӦÀú³ÌÖеÄÏÖʵ¹âÁ¿×ÓЧÂÊ£¬£¬£¬£¬£¬£¬£¬£¬£½(Fm_Ln?Ft_Ln)/Fm_Ln |
QY_Lss |
¹âÎÈ̬ÏÖʵ¹âÁ¿×ÓЧÂÊ£¬£¬£¬£¬£¬£¬£¬£¬£½(Fm_Lss?Ft_Lss)/Fm_Lss |
QY_max£¨Fv/Fm£© |
°µË³Ó¦ºóµÄ×î´ó¹âÁ¿×ÓЧÂÊ£¬£¬£¬£¬£¬£¬£¬£¬=Fv/Fm |
Fv/Fm_Ln |
¹â˳ӦÀú³ÌÖеÄ×î´ó¹âÁ¿×ÓЧÂÊ£¬£¬£¬£¬£¬£¬£¬£¬£½(Fm_Ln?Fo_Ln)/Fm_Ln |
Fv/Fm_Lss |
¹âÎÈ̬×î´ó¹âÁ¿×ÓЧÂÊ£¬£¬£¬£¬£¬£¬£¬£¬£½(Fm_Lss?Fo_Lss)/Fm_Lss |
Rfd_Ln |
¹â˳ӦÀú³ÌÖеÄÓ«¹âË¥¼õÂÊ£¬£¬£¬£¬£¬£¬£¬£¬ÓÃÓÚÆÀ¹ÀÖ²Îï»îÁ¦£¬£¬£¬£¬£¬£¬£¬£¬£½(Fp?Ft_Ln)/Ft_Ln |
Rfd_Lss |
ÎÈ̬ӫ¹âË¥¼õÂÊ£¬£¬£¬£¬£¬£¬£¬£¬ÓÃÓÚÆÀ¹ÀÖ²Îï»îÁ¦£¬£¬£¬£¬£¬£¬£¬£¬£½(Fp?Ft_Lss)/Ft_Lss |
ETR |
µç×Óת´ïËÙÂÊ£¬£¬£¬£¬£¬£¬£¬£¬ETR=QY_Lss¡ÁPAR¡Á0.5¡Á0.84(PARÎüÊÕÂÊ)£¬£¬£¬£¬£¬£¬£¬£¬PARÎüÊÕÂÊ¿Éͨ¹ýPARÎüÊÕÕÉÁ¿Ä£¿£¿£¿£¿£¿£¿é¾ÙÐÐÐÞÕý |
4.Ö÷ÒªÒ¶ÂÌËØÓ«¹â²ÎÊýµÄÖµÓò¹æÄ£ÊǼ¸¶à£¿£¿£¿£¿£¿£¿Ï໥¹ØÏµÊÇÔõôÑùµÄ£¿£¿£¿£¿£¿£¿
´ð£ºÒ»Ñùƽ³£À´Ëµ£¬£¬£¬£¬£¬£¬£¬£¬Fm ¡Ý Fp ¡Ý Ft ¡Ý Fs ¡Ý Fo£¬£¬£¬£¬£¬£¬£¬£¬Fo¡¯ ¡Ý Fo£¬£¬£¬£¬£¬£¬£¬£¬Fm¡¯ ¡Ü Fm£¬£¬£¬£¬£¬£¬£¬£¬°µ³ÚÔ¥£¨actinic light¹Ø±Õºó£©µÄFm ¡Ü °µË³Ó¦µÄFm£¬£¬£¬£¬£¬£¬£¬£¬FpºÍFm¡¯Ã»ÓÐÑÏ¿áÆé᫹ØÏµ¡£¡£¡£¡£¡£¡£¡£¡£

×î´ó¹â»¯Ñ§Ð§ÂÊFv/Fm»òQYmaxÖµÓò0 ¨C 1¡£¡£¡£¡£¡£¡£¡£¡£µ«ÏÖʵÉÏ£¬£¬£¬£¬£¬£¬£¬£¬ÔÚÀíÏë״̬ϱ£´æÉÏÏÞ¡£¡£¡£¡£¡£¡£¡£¡££º
?C3Ö²Î0.83 - 0.84 (Bjorkman and Demmig 1987)
?C4Ö²Î0.78 (Pfundel 1998)
?ÔåÀࣺ³£µÍÓÚ0.7 (Trissl and Wilhelm 1993)
ÕâÒ»ÉÏÏÞÔÚ²î±ðÎÄÏ×Öб£´æ²î±ð£¬£¬£¬£¬£¬£¬£¬£¬µ«Ò»Ñùƽ³£À´Ëµ£¬£¬£¬£¬£¬£¬£¬£¬C3Ö²ÎïÔÚʵÑéÖбÈÕÕ×éÊý¾ÝÒªÕùÈ¡´óÓÚ0.8£¬£¬£¬£¬£¬£¬£¬£¬×î¸ß²»¿É¸ßÓÚ0.86¡£¡£¡£¡£¡£¡£¡£¡£
ÏÖʵ¹â»¯Ñ§Á¿×ÓЧÂÊ»òÁ¿×Ó²ú¶îQY»ò¦µPSIIÖµÓò0 ? 1£¬£¬£¬£¬£¬£¬£¬£¬¡Ü Fv/Fm£¬£¬£¬£¬£¬£¬£¬£¬Ò»Ñùƽ³£ËæActinic lightÉý¸ß¶ø½µµÍ¡£¡£¡£¡£¡£¡£¡£¡£
RfdÖµÓòΪ0 ? ¡Þ £¬£¬£¬£¬£¬£¬£¬£¬Ò»Ñùƽ³£ÔÚ0 ¨C 6¡£¡£¡£¡£¡£¡£¡£¡£
qN¡¢ qP¡¢ qLÖµÓòΪ0 ¨C 1¡£¡£¡£¡£¡£¡£¡£¡£
NPQÖµÓòΪ0 ? ¡Þ£¬£¬£¬£¬£¬£¬£¬£¬Ò»Ñùƽ³£ÔÚ0 ¨C 4¡£¡£¡£¡£¡£¡£¡£¡£Òò´Ë£¬£¬£¬£¬£¬£¬£¬£¬ÓеÄÎÄÏ×ÖлáʹÓÃNPQ/4ÕâÒ»²ÎÊýÀ´¶ÔÆä¹éÒ»»¯¡£¡£¡£¡£¡£¡£¡£¡£
5.FluorCamÈí¼þÖеÄÓ«¹â²ÎÊýËÆºõÓëÎÄÏ×ÖеÄÓÐЩ²î±ð£¬£¬£¬£¬£¬£¬£¬£¬Ò»Ñùƽ³£ÎÄÏ×ÖÐʹÓõIJÎÊý¶ÔÓ¦FluorCamÈí¼þÖеÄÄĸö²ÎÊý£¿£¿£¿£¿£¿£¿
´ð£ºÈí¼þÖÐΪÁ˱ãÓÚʶ±ðÓëÇø·Ö£¬£¬£¬£¬£¬£¬£¬£¬ÓëÎÄÏ×ÖеÄÒ»Ñùƽ³£ÐÎòÓÐËù²î±ð¡£¡£¡£¡£¡£¡£¡£¡£Ò»Ñùƽ³£ÎÄÏ×ÖÐÌáµ½µÄ²ÎÊýÔÚFluorCamÈí¼þÖеÄÏÔʾÈçÏ£º
ÎÄÏ×ÖеIJÎÊýFluorCamÈí¼þÖеIJÎÊý

Èí¼þ²ÎÊýºó׺L´ú±í¹â˳ӦÀú³Ì£¬£¬£¬£¬£¬£¬£¬£¬D´ú±í°µ³ÚÔ¥Àú³Ì£¬£¬£¬£¬£¬£¬£¬£¬ ssΪsteady-stateËõд£¬£¬£¬£¬£¬£¬£¬£¬´ú±íÎÈ̬¡£¡£¡£¡£¡£¡£¡£¡£Lss¼´Îª¹âÎÈ̬¡£¡£¡£¡£¡£¡£¡£¡£
¹ØÓÚ¹â˳ӦÌõ¼þϵÄÓ«¹â²ÎÊý£¬£¬£¬£¬£¬£¬£¬£¬ÎÄÏ×Öж¼Ä¬ÈÏʹÓõÄÊǹâÎÈ̬ʱµÄ¶ÔÓ¦²ÎÊý¡£¡£¡£¡£¡£¡£¡£¡£FluorCamÈí¼þÖÐÌØÊâÒÔLssºó׺¼ÓÒÔÇø·Ö¡£¡£¡£¡£¡£¡£¡£¡£¶øÆäËûµÄL1¡¢L2¡¢D1¡¢D2µÈ¶ÔÓ¦µÄ²ÎÊýÔò¿ÉÒÔ±íÕ÷ÌåÏÖ¹â˳Ӧ»ò°µ³ÚÔ¥´ÓÆðʼµ½ÎÈ̬µÄת±äÀú³Ì¡£¡£¡£¡£¡£¡£¡£¡£
ÔÚ¹âÏìÓ¦ÇúÏßLight CurveÕÉÁ¿ÖУ¬£¬£¬£¬£¬£¬£¬£¬ÓÉÓÚÿһ¸ö¹âÇ¿ÌݶȾùµÖ´ï¹âÎÈ̬£¬£¬£¬£¬£¬£¬£¬£¬Òò´Ë²ÎÊýºó׺¾ùΪLss£¬£¬£¬£¬£¬£¬£¬£¬²î±ðÊý×ÖÌåÏÖ²î±ðµÄ¹âÇ¿Ìݶȡ£¡£¡£¡£¡£¡£¡£¡£
QYÔÚÖÐÓ¢ÎÄÎÄÏ×ÖпÉÄÜ»áÓжàÖÖ²î±ðµÄ±íÊöÒªÁ죬£¬£¬£¬£¬£¬£¬£¬µ«ÏÖʵÉÏÆä´ú±íµÄÒâÒåÊÇÏàͬµÄ£¬£¬£¬£¬£¬£¬£¬£¬¼´¹â˳ӦϵÄÕæÊµ¹âÄÜת»¯Ð§ÂÊ£¬£¬£¬£¬£¬£¬£¬£¬ÅÌË㹫ʽҲÊÇÏàͬµÄ¡£¡£¡£¡£¡£¡£¡£¡£

6.¹â˳ӦϵÄ×îСӫ¹âF0¡¯ÊÇÔõÑùÕÉÁ¿µÄ£¿£¿£¿£¿£¿£¿
´ð£º×îСӫ¹â F0ÊÇÔÚ°µË³Ó¦Ìõ¼þÏÂÕÉÁ¿»ñµÃµÄ£¬£¬£¬£¬£¬£¬£¬£¬ÕâʱPSII¹â·´Ó¦ÖÐÐÄ´¦ÓÚÍêÈ«¿ª·Å״̬£¨qP=1£©¡£¡£¡£¡£¡£¡£¡£¡£¶øÔÚ¹â˳ӦÏÂPSII¹â·´Ó¦ÖÐÐÄ´¦ÓÚ²¿·Ö¹Ø±ÕµÄ״̬£¨0£¼qP£¼1£©£¬£¬£¬£¬£¬£¬£¬£¬Õâʱ¼äÔõô¿ÉÄÜÕÉÁ¿×îСӫ¹âÄØ£¿£¿£¿£¿£¿£¿
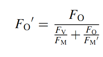
ÒÔǰ£¬£¬£¬£¬£¬£¬£¬£¬ÓÉÓÚÊÖÒÕÏÞÖÆ£¬£¬£¬£¬£¬£¬£¬£¬ËùÓÐÒ¶ÂÌËØÓ«¹âÒÇÆ÷¶¼²»¿ÉÖ±½ÓÕÉÁ¿F0¡¯¡£¡£¡£¡£¡£¡£¡£¡£1997Ä꣬£¬£¬£¬£¬£¬£¬£¬OxboroughºÍBakerÌá³öÁËÒ»¸öF0¡¯µÄ¹ÀË㹫ʽ£º

Ö®ºóµÄһϵÁÐÑо¿Ö¤Êµ£¬£¬£¬£¬£¬£¬£¬£¬Õâ¸ö¹«Ê½¹ÀËã»ñµÃµÄÊý¾ÝÊÇ¿ÉÐŵġ£¡£¡£¡£¡£¡£¡£¡£×ÝÈ»ÊÇÏÖÔÚ£¬£¬£¬£¬£¬£¬£¬£¬´ó²¿·ÖûÓÐÃ÷ȷ˵Ã÷µÄÒ¶ÂÌËØÓ«¹âÒÇÆ÷ÒÀÈ»ÊÇʹÓÃÕâ¸ö¹«Ê½¾ÙÐйÀËã¡£¡£¡£¡£¡£¡£¡£¡£
µ«Õâ¸öÊý¾ÝÖÕ¾¿²»ÊÇÖ±½ÓÕÉÁ¿»ñµÃµÄ£¬£¬£¬£¬£¬£¬£¬£¬ÔÚÐí¶à¹âºÏÑо¿ÖÐÊÇÎÞ·¨´ú±í¡£¡£¡£¡£¡£¡£¡£¡£Ëæ×ÅLEDÊÖÒÕµÄǰ½ø£¬£¬£¬£¬£¬£¬£¬£¬FluorCamÔòͨ¹ýÅ䱸רÓõÄÔ¶ºì¹âÔ´°åÀ´¶ÔF0¡¯¾ÙÐÐʵ²â¡£¡£¡£¡£¡£¡£¡£¡£ÕâÊÇʹÓÃÁËÔ¶ºì¹âÖ»»áÒý·¢PSI¶ø²»Òý·¢PSIIµÄÌØÕ÷¡£¡£¡£¡£¡£¡£¡£¡£ÔÚ¹â˳Ӧ¸Õ¸Õ¿¢Ê£¬£¬£¬£¬£¬£¬£¬£¬¹â»¯¹â¹Ø±Õʱ£¬£¬£¬£¬£¬£¬£¬£¬Á¬Ã¦ÕÕÉäÔ¶ºì¹â£¬£¬£¬£¬£¬£¬£¬£¬Ê¹PQ¿âÑõ»¯£¬£¬£¬£¬£¬£¬£¬£¬Ç¿ÖÆPSIIµÖ´ïÍêÈ«¿ª·ÅµÄ״̬£¬£¬£¬£¬£¬£¬£¬£¬´Ó¶ø¶ÔF0¡¯¾ÙÐÐʵ²â¡£¡£¡£¡£¡£¡£¡£¡£

´ÓÁíÍâÒ»¸ö·½ÃæËµ£¬£¬£¬£¬£¬£¬£¬£¬Ã»ÓÐÅ䱸Զºì¹âÔ´µÄÒ¶ÂÌËØÓ«¹âÒÇ»òÕßÓ«¹â³ÉÏñÒǶ¼ÊDz»¿ÉÏÖʵÕÉÁ¿F0¡¯µÄ¡£¡£¡£¡£¡£¡£¡£¡£Í¬Ê±£¬£¬£¬£¬£¬£¬£¬£¬ÓÐЩӫ¹â³ÉÏñÒÇ×ÝÈ»Å䱸ÁËÔ¶ºì¹âÔ´£¬£¬£¬£¬£¬£¬£¬£¬µ«ÓÉÓÚÆäÔ¶ºì¹âԴûÓÐÓëPAMÂö³åµ÷ÖÆÕÉÁ¿³ÌÐòÁª¶¯£¬£¬£¬£¬£¬£¬£¬£¬Ò²²»¿ÉÏÖʵÕÉÁ¿F0¡¯¡£¡£¡£¡£¡£¡£¡£¡£
7.Ò¶ÂÌËØÓ«¹âÕÉÁ¿Ç°ÎªºÎÒª¾ÙÐаµË³Ó¦£¿£¿£¿£¿£¿£¿±ØÐèÒª¾ÙÐаµË³Ó¦Â𣿣¿£¿£¿£¿£¿
´ð£º°µË³Ó¦ÊÇΪÁ˲â×î´óÓ«¹âFmºÍ×îСӫ¹âFo¡£¡£¡£¡£¡£¡£¡£¡£
Ö²Îï/ÔåÀàÔÚ¾ÓÉÒ»¶¨µÄ°µË³Ó¦ºó£¬£¬£¬£¬£¬£¬£¬£¬QA×îºéÁ÷ƽ±»Ñõ»¯£¬£¬£¬£¬£¬£¬£¬£¬¹â·´Ó¦ÖÐÐÄÍêÈ«¡°¿ª·Å¡±£¬£¬£¬£¬£¬£¬£¬£¬´ËʱÒÇÆ÷ÔËÐгÌÐòÔò×Ô¶¯·¢³öÕÉÁ¿¹â£¬£¬£¬£¬£¬£¬£¬£¬²ÅÒÔ²âµÃ×îСӫ¹âF0¡£¡£¡£¡£¡£¡£¡£¡£´ËÕÉÁ¿¹â¼«Ð¡£¬£¬£¬£¬£¬£¬£¬£¬²»¿ÉÒýÆð¹â»¯Ñ§·´Ó¦¡£¡£¡£¡£¡£¡£¡£¡£Ò²¿É²»¾ÙÐаµË³Ó¦Ö±½ÓÕÉÁ¿£¬£¬£¬£¬£¬£¬£¬£¬ÔËÐÐFv/Fm³ÌÐò£¬£¬£¬£¬£¬£¬£¬£¬ÕÉÁ¿»ñµÃµÄQYmax=QY£¨ÏÖʵ¹âÁ¿×ÓЧÂÊ£©¡£¡£¡£¡£¡£¡£¡£¡£
8.ÒѾÓÐÒ¶ÂÌËØÓ«¹âÒÇÁË£¬£¬£¬£¬£¬£¬£¬£¬ÊÇ·ñÉÐÓÐÐëÒªÂòÒ¶ÂÌËØÓ«¹â³ÉÏñÒÇ£¿£¿£¿£¿£¿£¿
´ð£ºÓÐÐëÒª¡£¡£¡£¡£¡£¡£¡£¡£Ò¶ÂÌËØÓ«¹âÒÇΪµãÕÉÁ¿£¬£¬£¬£¬£¬£¬£¬£¬»ñµÃÖÚ¶àÓ«¹â²ÎÊýÖµ£¬£¬£¬£¬£¬£¬£¬£¬µ¥´ÎÕÉÁ¿ÄÑÒÔ·´Ó¦ÑùÆ·µÄÕûÌåÌØÕ÷£¬£¬£¬£¬£¬£¬£¬£¬¿É¶à´ÎÕÉÁ¿È¡Æ½¾ùÖµµÈ¡£¡£¡£¡£¡£¡£¡£¡£±ÈÆðÓ«¹âÒÇ£¬£¬£¬£¬£¬£¬£¬£¬Ò¶ÂÌËØÓ«¹â³ÉÏñÒÇÓÐÒÔϲ»¿ÉÌæ»»µÄÓŵ㣺
?Êý¾ÝЧ¹û¿ÉÒÔÊÇÕû¸öÑùÆ·µÄƽ¾ùÖµ£¬£¬£¬£¬£¬£¬£¬£¬¿É·´Ó¦ÑùÆ·µÄÕûÌåÌØÕ÷£¬£¬£¬£¬£¬£¬£¬£¬×èÖ¹ÑùÆ·²î±ðÔì³ÉµÄÎó²î£»£»£»£»£»Ò²¿ÉÒÔͨ¹ýROIÑ¡Çø¹¤¾ß×Ô¶¯»òÊÖ¶¯Ñ¡Ôñ²î±ðÇøÓò¾ÙÐÐÆÊÎö
?³ÉÏñͼÄܹ»ÖÜÈ«·´Ó¦ÕûÖêÖ²ÎҶƬ¡¢ÔåÀàȺÌåµÈµÄ²î±ðλÖÃÓ«¹âÇ¿¶Èת±äÓëÂþÑÜ£¬£¬£¬£¬£¬£¬£¬£¬¼´¹âºÏ×÷רÐÄÀíÉú̬¼°Ð²ÆÈµÄÒìÖÊÐÔÂþÑÜ״̬¡£¡£¡£¡£¡£¡£¡£¡£
?¿ÉÕÉÁ¿Ò¶Æ¬¡¢¹ûʵ¡¢ÂóËë¡¢´óÐÍÔå/΢Ôå¡¢ÕûÖêÖ²ÎïÒÔÖÂÖ²Îï¹Ú²ãµÈÖÖÖÖÑùÆ·¡£¡£¡£¡£¡£¡£¡£¡£
?¿Éͬʱ²â¶¨¼¸Ê®¡¢ÉõÖÁÉϰÙÖê¸öÑùÆ·¡£¡£¡£¡£¡£¡£¡£¡£
?Äܹ»ÔÚÏÔ΢ˮƽÑо¿Ò¶ÂÌÌå»òÔåÀàϸ°û¡£¡£¡£¡£¡£¡£¡£¡£
?ÓÈÆäÊÊÓÃÓÚÇéÐÎвÆÈÔçÆÚÖ²Îï²î±ð²¿Î»¹âºÏ»îÐÔµÄת±ä¼ÍÂÉ¡¢Í»±äÌå²î±ð²¿Î»µÄ¹âºÏ¹¦Ð§²î±ðµÈÑо¿¡£¡£¡£¡£¡£¡£¡£¡£ 
9.Ò¶ÂÌËØÓ«¹âÕÉÁ¿Ê±ÔõÑùÑ¡Ôñ¹âÖÊ£¿£¿£¿£¿£¿£¿
´ð£ºÒ¶ÂÌËØÓ«¹âÕÉÁ¿Ö÷ÒªÕë¶ÔÒ¶ÂÌËØa£¬£¬£¬£¬£¬£¬£¬£¬Ò¶ÂÌËØaµÄÁ½¸ö¹âÆ×ÎüÊÕ²¨·åÔÚÀ¶×ϹⲨ¶ÎºÍºì¹â²¨¶Î£¬£¬£¬£¬£¬£¬£¬£¬Òò´ËÑ¡ÔñÀ¶¹â¡¢ºì¹â»òÕ߰׹⣨¸´ºÏ¹â£©Ò»Ñùƽ³£¾ù¿É¡£¡£¡£¡£¡£¡£¡£¡£ÆäÖÐ×¢ÖØ£¬£¬£¬£¬£¬£¬£¬£¬À¶ÔåÕÉÁ¿Ê±Ö»¹ÜÑ¡Ôñºì¹â¡£¡£¡£¡£¡£¡£¡£¡£
10.Ò¶ÂÌËØÓ«¹âÕÉÁ¿±ØÐèÔÚÖ²Îï»îÌåÉÏÕÉÁ¿Â𣿣¿£¿£¿£¿£¿
´ð£ºÔÔòÉÏ£¬£¬£¬£¬£¬£¬£¬£¬Ò¶ÂÌËØÓ«¹âÕÉÁ¿ÒòÖ»¹Ü¶ÔÑùÆ·»îÌåÔλ¼ì²â¡£¡£¡£¡£¡£¡£¡£¡£Ìõ¼þ²»ÔÊÐíʱ¿ÉÒÔÕÉÁ¿ÀëÌåҶƬ£¬£¬£¬£¬£¬£¬£¬£¬µ«Ö»¹ÜÔÚ»îÌå״̬ϾÙÐаµË³Ó¦´¦Öóͷ££¬£¬£¬£¬£¬£¬£¬£¬²âÊÔʱÀëÌåʱ¼ä²»Áè¼Ý15-20·ÖÖÓ¡£¡£¡£¡£¡£¡£¡£¡£µ«ÏêϸÇéÐÎÒ²Òª¿´ÑùÆ·ÔÚÀëÌåºóʧˮӰÏìµÄÏêϸÇéÐΣ¬£¬£¬£¬£¬£¬£¬£¬ÓÐЩÑùÆ·ÔòÔÚ¶ÌʱÀëÌåºó¾Í»áήÄè¾íÇú£¬£¬£¬£¬£¬£¬£¬£¬ÈçË®µ¾£¬£¬£¬£¬£¬£¬£¬£¬¶øÓÐЩÑùÆ·¿ÉÄÍÊܳ¤Ê±¼äÀëÌ壬£¬£¬£¬£¬£¬£¬£¬ÈçһЩ¸ïÖÊҶƬ¡£¡£¡£¡£¡£¡£¡£¡£ÀëÌå¼ì²âÖ»¹ÜʹÓÃʪɴ²¼µÈ°ü¹üÒ¶¹££¬£¬£¬£¬£¬£¬£¬£¬ÈçÐè¹âÏÂתÔË¿ÉʹÓÃÁ½Æ¬ÊªÂËÖ½¼ÐסҶƬ£¬£¬£¬£¬£¬£¬£¬£¬×èֹҶƬʧˮ£¬£¬£¬£¬£¬£¬£¬£¬Ó°ÏìÕÉÁ¿Ð§¹û¡£¡£¡£¡£¡£¡£¡£¡£
11.NPQΪ¸ºÖµÓ¦µ±ÔõÑù½â¾ö£¿£¿£¿£¿£¿£¿
´ð£ºÒ»Ñùƽ³£ÊÇÕÉÁ¿²ÎÊýÉèÖò»µ±Ôì³ÉµÄ£¬£¬£¬£¬£¬£¬£¬£¬¿ÉʵÑ齫±¥ºÍÂö³å¹âÊʵ±µ÷´ó»ò¹â»¯¹âÊʵ±µ÷С¡£¡£¡£¡£¡£¡£¡£¡£ÓÐЩÊÇÑùÆ·ÌØÕ÷Ôì³ÉµÄ£¬£¬£¬£¬£¬£¬£¬£¬ÕâÖÖÇéÐοÉʵÑéÌæ»»¹âÖÊ¡£¡£¡£¡£¡£¡£¡£¡£
12.ÊÇ·ñÄÜ»ñµÃETR£¿£¿£¿£¿£¿£¿ÔõÑù»ñµÃETRmax£¿£¿£¿£¿£¿£¿
´ð£ºÒ¶ÂÌËØÓ«¹âÕÉÁ¿ÒÇÔËÐÐLC1~3³ÌÐò£¬£¬£¬£¬£¬£¬£¬£¬Ò¶ÂÌËØÓ«¹â³ÉÏñÔËÐÐLightCurve³ÌÐò£¬£¬£¬£¬£¬£¬£¬£¬¾ù¿É»ñµÃETR¡£¡£¡£¡£¡£¡£¡£¡£ETRmaxÔòÐèʹÓÃsigma plotµÈ¹¤¾ßÈí¼þ£¬£¬£¬£¬£¬£¬£¬£¬ÄâºÏ¹âÏìÓ¦ÇúÏßRLCÀ´»ñµÃ¡£¡£¡£¡£¡£¡£¡£¡££¨²Î¿¼ÎÄÏ×£ºRalph P J, Gademann R. Rapid light curves: A powerful tool to assess photosynthetic activity[J]. Aquatic Botany, 2005,82(3):222-237. ¸ü¶à²Î¿¼ÎÄÏ׿ÉÁªÏµº£ÑóÖ®Éñ590¹ÙÍøÈë¿Ú»ñÈ¡£¡£¡£¡£¡£¡£¡£¡£©
13.Ò¶ÂÌËØÓ«¹â³ÉÏñʱ¶ÔÑùÆ·ÓкÎÒªÇ󣿣¿£¿£¿£¿£¿
´ð£ºÒªÇóÑùÆ·ÎÞÈκÎÕÚµ²£¬£¬£¬£¬£¬£¬£¬£¬Ö»¹ÜƽÆÌ£¬£¬£¬£¬£¬£¬£¬£¬ÕûÖêÖ²Îï³ÉÏñÔò×îºÃ¶Ôͳһˮƽ¸ß¶ÈµÄ²¿·Ö¾ÙÐмì²â¡£¡£¡£¡£¡£¡£¡£¡£´óÐÍÔå¿ÉÓÐˮʪÈóµ«Ë®²»ÒªÃ»¹ýÑùÆ·¡£¡£¡£¡£¡£¡£¡£¡£Åä¾°Ö»¹Ü´¿´â²¢ÇÒΪÐþÉ«»òÕß·Ç·´¹â²ÄÖÊ¡£¡£¡£¡£¡£¡£¡£¡£×èֹʹÓÃÎýÖ½¡¢ËÜÁϰåµÈ·´¹âÎïÆ·¡£¡£¡£¡£¡£¡£¡£¡£ÕÉÁ¿Ê±Ò»Ñùƽ³£Ñ¡ÓÃҶƬÕýÃæ£¬£¬£¬£¬£¬£¬£¬£¬¶øµ±Ò¶Æ¬±³ÃæÊ×ÏÈÔâÊܲ¡³æº¦Ê±£¬£¬£¬£¬£¬£¬£¬£¬ÔòÒ²¿É¶Ô±³Ãæ¾ÙÐмì²â¡£¡£¡£¡£¡£¡£¡£¡£
14.ÎҵIJî±ð´¦Öóͷ£×éÑùÆ·ÊÇÍÑÀë³ÉÏñµÄ£¬£¬£¬£¬£¬£¬£¬£¬ÄÇÔÚдÂÛÎÄʱÔõÑù½«Í¼Æ¬·ÅÔÚÒ»Æð±ÈÕÕ£¿£¿£¿£¿£¿£¿
´ð£ºÊôÓÚͳһʵÑéÇÒÐèÒªÉúÑĵijÉÏñͼ£¬£¬£¬£¬£¬£¬£¬£¬±ØÐ轫Æä²ÊÉ«±ê³ßµ÷½âΪÏàͬµÄÇø¼ä¡£¡£¡£¡£¡£¡£¡£¡£Ïêϸ°ì·¨ÈçÏ£º
1£©µãÑ¡Èí¼þresult½çÃæÓÒÏ·½Group colorǰ¡Ì £¬£¬£¬£¬£¬£¬£¬£¬Í³Ò»Àà²ÎÊý½«Ê¹ÓÃͳһ²ÊÉ«±ê³ß¡£¡£¡£¡£¡£¡£¡£¡£

2£©µãÑ¡ÓÒÏ·½Manual colorǰ¡Ì £¬£¬£¬£¬£¬£¬£¬£¬ÊÖ¶¯É趨±ê³ß¹æÄ££¬£¬£¬£¬£¬£¬£¬£¬ÓÒ¼üÉúÑijÉÏñͼ¡£¡£¡£¡£¡£¡£¡£¡£

3£©²î±ð´¦Öóͷ£ÑùÆ·ÖØ¸´ÒÔÉϰ취£¬£¬£¬£¬£¬£¬£¬£¬ËùÓÐÑùƷͳһ²ÎÊýµÄ³ÉͼÏñ±ê³ß¹æÄ£±ØÐèÉ趨һÖ¡£¡£¡£¡£¡£¡£¡£¡£
4£©É趨±ê³ß¹æÄ£µÄ±ê×¼£ºÇк϶ÔÓ¦²ÎÊýµÄÀíÂÛ¹æÄ££¬£¬£¬£¬£¬£¬£¬£¬ºÃ±ÈFv/Fm¡¢QY²»Áè¼Ý0-1£¬£¬£¬£¬£¬£¬£¬£¬NPQÒ»Ñùƽ³£²»Áè¼Ý0-4µÈ£»£»£»£»£»ÎªÁËÍ»³ö³ÉÏñЧ¹û£¬£¬£¬£¬£¬£¬£¬£¬¿ÉËõС±ê³ß¹æÄ££¬£¬£¬£¬£¬£¬£¬£¬µ«ÒªÈ·±£³ÉÏñͼÉÏÖ÷ÒªµÄÏñËØµãÔÚÕâÒ»¹æÄ£ÄÚ
15.¿ÉÒÔͨ¹ýFluorCamÆÀ¹ÀÒ¶ÂÌËØÅ¨¶ÈÂ𣿣¿£¿£¿£¿£¿
´ð£ºÓÐÈýÖÖÒªÁì¿ÉÒÔÆÀ¹ÀÒ¶ÂÌËØÅ¨¶È£º
1£©×îСӫ¹âF0¡¢×î´óÓ«¹âFmºÍOJIP¿ìËÙÓ«¹â²ÎÊýArea¶¼ÓëÒ¶ÂÌËØÅ¨¶ÈÓÐÕýÏà¹ØÐÔ£¬£¬£¬£¬£¬£¬£¬£¬ÓÐÐí¶àÏà¹ØµÄÎÄÏ×¾ÙÐйý̽ÌÖ£¨Chen£¬£¬£¬£¬£¬£¬£¬£¬2021£¬£¬£¬£¬£¬£¬£¬£¬2017£©¡£¡£¡£¡£¡£¡£¡£¡£µ«ÓÉÓÚÒ¶ÂÌËØÓ«¹â²ÎÊýͬʱÓë¹âºÏ״̬Óйأ¬£¬£¬£¬£¬£¬£¬£¬Òò´ËÔÚʹÓÃÉÏӦСÐÄ¡£¡£¡£¡£¡£¡£¡£¡£

2£©Í¨¹ýPARÎüÊÕÄ£¿£¿£¿£¿£¿£¿éʵÏÖ¡£¡£¡£¡£¡£¡£¡£¡£Í¨¹ýÕâ¸öÄ£¿£¿£¿£¿£¿£¿éÕÉÁ¿ÅÌËãµÄNDVIÖ²±»¹éÒ»»¯Ö¸Êý£¬£¬£¬£¬£¬£¬£¬£¬ÓëÒ¶ÂÌËØÅ¨¶È³ÉÕýÏà¹Ø£¬£¬£¬£¬£¬£¬£¬£¬ÕâÒ»²ÎÊý×Ô¼º¾ÍÆÕ±éÓÃÓÚ´óÌïÒ£¸ÐÆÕ²é¡¢ÉÁÖÉú̬¼à²âµÈ¡£¡£¡£¡£¡£¡£¡£¡£Í¬Ê±³ÉÏñͼÄܹ»·´Ó¦Ò¶ÂÌËØÅ¨¶ÈÒìÖÊÐÔ¡£¡£¡£¡£¡£¡£¡£¡£

3£©Í¨¹ý×ÏÍâÒý·¢¶à¹âÆ×Ó«¹â³ÉÏñʵÏÖ¡£¡£¡£¡£¡£¡£¡£¡£ÕÉÁ¿µÄF690/F740ÓëÒ¶ÂÌËØÅ¨¶ÈΪ¸ºÏà¹Ø¡£¡£¡£¡£¡£¡£¡£¡£ÏÖÔÚÒÑÓÐÑо¿ÆäÓÃÓÚ×÷ÎïµªËØÓªÑø×´Ì¬ÆÀ¹À¡£¡£¡£¡£¡£¡£¡£¡£

Õã½´óѧӦÓÃFluorCam¶à¹âÆ×Ó«¹â³ÉÏñÊÖÒÕ¾ÙÐÐÓͲ˵ªËØÓªÑø¿ìËÙÆÀ¹À£¨Sun£¬£¬£¬£¬£¬£¬£¬£¬2020£©
16.ÔÚʹÓÃFluorCamÈí¼þµ¼³öÊý¾Ýʱ£¬£¬£¬£¬£¬£¬£¬£¬Ê¹ÓÃFrame numericÕÕ¾É numeric average¸üºÃ£¿£¿£¿£¿£¿£¿
´ð£ºÍ¨³££¬£¬£¬£¬£¬£¬£¬£¬ÎÒÃǽ¨ÒéʹÓÃnumeric average¡£¡£¡£¡£¡£¡£¡£¡£ÒÔÅÌËãFv/FmΪÀý£¬£¬£¬£¬£¬£¬£¬£¬Frame numericÊÇÖ¸ÏÈÅÌËãÿ¸öÏñËØµÄFv/Fm£¬£¬£¬£¬£¬£¬£¬£¬È»ºóÔÙ³ýÒÔÏñËØÊýÇóµÃÇøÓòƽ¾ùFv/Fm¡£¡£¡£¡£¡£¡£¡£¡£¶ønumeric average£¬£¬£¬£¬£¬£¬£¬£¬ÔòÊÇÏÈ»ñµÃÕû¸öÇøÓòµÄƽ¾ùF0¡¢Æ½¾ùFm£¬£¬£¬£¬£¬£¬£¬£¬ÔÙÒÔ´ËÅÌËãFv/Fm¡£¡£¡£¡£¡£¡£¡£¡£ÈôÊÇÆÊÎöÀú³ÌÖУ¬£¬£¬£¬£¬£¬£¬£¬Ñù±¾ÐźÅÇ¿£¬£¬£¬£¬£¬£¬£¬£¬ÔëµãºÜÉÙ£¬£¬£¬£¬£¬£¬£¬£¬Á½ÖÖ·½·¨µÄ²î±ð²»ÏÔ×Å¡£¡£¡£¡£¡£¡£¡£¡£ÈôÊÇÑù±¾Ó«¹âÐźÅÈõ£¬£¬£¬£¬£¬£¬£¬£¬²¢ÇÒ±£´æÔëµã£¬£¬£¬£¬£¬£¬£¬£¬ÔòÑ¡Ôñnumeric average¸üºÃ¡£¡£¡£¡£¡£¡£¡£¡£
17.FluorCamÏÔʾpixels overflowÊÇʲôÒâ˼£¿£¿£¿£¿£¿£¿¶ÔÊý¾ÝÓкÎÓ°Ï죿£¿£¿£¿£¿£¿ÔõôÐÞÕý£¿£¿£¿£¿£¿£¿
´ð£º¸ßѸËÙ¶ÈCCDÏà»ú¼ì²âÓ«¹âµÄ¹æÄ£Îª0-4096¸öµ¥Î»£¬£¬£¬£¬£¬£¬£¬£¬¸ßÇø·ÖÂÊCCDÏà»úÔòÔÚ0-65536¡£¡£¡£¡£¡£¡£¡£¡£Áè¼Ý¸ÃÐźžͻᾯʾpixels overflow¼´ÐźÅÒç³ö¡£¡£¡£¡£¡£¡£¡£¡£ÔÚ×îÏÈʵÑéÕÉÁ¿Ç°£¬£¬£¬£¬£¬£¬£¬£¬ÄúÐèÒªÔÚlive´°¿Úµ÷½âshutterºÍsensitivity£¬£¬£¬£¬£¬£¬£¬£¬ÒÔ¼°ÉèÖÃÊʺϵĹâÇ¿¡£¡£¡£¡£¡£¡£¡£¡£ÔÚ·¿ªflashÇéÐÎϵ÷½âshutterºÍsensitivityʹ°µË³Ó¦ºóµÄÑùÆ·Ó«¹âÖµ´¦ÓڽϵÍÊýÖµ£¨´ËʱÏÔʾµÄÓ«¹âÖµ×ÅʵF0£©¡£¡£¡£¡£¡£¡£¡£¡£ÎÒÃÇͨ³£½¨Òé¸ßѸËÙ¶ÈCCDÏà»úÉèÖõ½500-1000£¬£¬£¬£¬£¬£¬£¬£¬¸ßÇø·ÖÂÊCCDÏà»úÉèÖõ½5000-10000¡£¡£¡£¡£¡£¡£¡£¡£²î±ðµÄÖ²ÎïÐèÒª²î±ðµÄÉèÖ㬣¬£¬£¬£¬£¬£¬£¬½¨ÒéԤʵÑé̽Ë÷¡£¡£¡£¡£¡£¡£¡£¡£
18.ShutterºÍsensitivityÔõÑùÓ°Ïì³ÉÏñÖÊÁ¿£¿£¿£¿£¿£¿£¿ÎªÁË»ñµÃ×î¼ÑЧ¹û£¬£¬£¬£¬£¬£¬£¬£¬½¨ÒéÄÄЩ×éºÏÉèÖã¿£¿£¿£¿£¿£¿
´ð£ºÏêϸµÄÉèÖÃÒªÁì²Î¿¼ËµÃ÷Êé¡£¡£¡£¡£¡£¡£¡£¡£¼ò¶ÌÀ´Ëµ£¬£¬£¬£¬£¬£¬£¬£¬shutter¼´¿ìÃÅʱ¼ä£¬£¬£¬£¬£¬£¬£¬£¬Í¬Ê±»¹¿ØÖÆÕÉÁ¿¹âµÄÒ»Á¬Ê±¼ä£¬£¬£¬£¬£¬£¬£¬£¬Ò»Ñùƽ³£²»Áè¼Ý20»ò30ms £¬£¬£¬£¬£¬£¬£¬£¬sensitivity¼´Ñ¸ËÙ¶È¡£¡£¡£¡£¡£¡£¡£¡£Á½ÕßÔ½¸ß£¬£¬£¬£¬£¬£¬£¬£¬Ó«¹âÐźÅÖµÔ½¸ß£¬£¬£¬£¬£¬£¬£¬£¬Ì«¸ßÔòÁè¼ÝÕý³£F0µÄ¹æÄ£¡£¡£¡£¡£¡£¡£¡£¡£ShutterÒ»Ñùƽ³£½¨ÒéÉèÖÃ10-20us£¬£¬£¬£¬£¬£¬£¬£¬×î´ó²»Áè¼Ý33us¡£¡£¡£¡£¡£¡£¡£¡£SensitivityÔ½¸ßÐÅÔë±ÈÔ½µÍ£¬£¬£¬£¬£¬£¬£¬£¬½¨ÒéÒ»Ñùƽ³£²»Áè¼Ý50£¥¡£¡£¡£¡£¡£¡£¡£¡£
19.ÑÎвÆÈË®µ¾Ó×Ãç·Ç¹â»¯Ñ§Ó«¹â´ãÃð³ÉÏñ£ºÊÓÆµÖж¯Á¦Ñ§ÇúÏßËæ×ÅвÆÈ¼ÓÖØ¶øÉÏÉý˵Ã÷Îúʲô£¬£¬£¬£¬£¬£¬£¬£¬ÉÐÓÐÔõôȥÆÊÎö´ËÀàÐ͵͝Á¦Ñ§ÇúÏߣ¿£¿£¿£¿£¿£¿
´ð£º¶¯Á¦Ñ§ÇúÏßËæÐ²ÆÈ¼ÓÖØÉÏÉýÒ»Ñùƽ³£ÊÇÓÉÓÚвÆÈµ¼ÖÂPSII¹â»¯Ñ§·´Ó¦»îÐÔ½µµÍ£¬£¬£¬£¬£¬£¬£¬£¬¹âÄÜת»¯Ð§Âʵͣ¬£¬£¬£¬£¬£¬£¬£¬¸ü¶àµÄ¹âÄÜÒÔÓ«¹âµÄÐÎʽɢʧ£¬£¬£¬£¬£¬£¬£¬£¬ÒÔÊǵ¼ÖÂÓ«¹âÐźÅÔöÇ¿¡£¡£¡£¡£¡£¡£¡£¡£
Ó«¹â¶¯Á¦Ñ§ÇúÏߵįÊÎöͨ³£ÓÐÁ½ÖÖ·½·¨£ºÒ»ÊǽÏÁ¿²î±ðÑùÆ·ÔÚ°µË³Ó¦-¹â˳Ӧ-°µ³ÚÔ¥3¸ö½×¶ÎµÄÓ«¹âÇ¿¶Èת±äµÄ²î±ð£¬£¬£¬£¬£¬£¬£¬£¬¿¼²ìPSII¶Ô¹âǿת±äµÄ˳ӦÐԺͿÉËÜÐÔÒÔ¼°Ã¿¸ö½×¶ÎµÄPSIIµÄ»îÐÔ¼°µç×Óת´ï״̬¡£¡£¡£¡£¡£¡£¡£¡£ÆÊÎöЧ¹û¶¼ÊǶ¨ÐÔÐÎò£¬£¬£¬£¬£¬£¬£¬£¬¶¨Á¿ÆÊÎöÈÔÐè½èÖúÅÌËãÖµ£»£»£»£»£»ÁíÍâÒ»ÖÖÆÊÎö·½·¨Êǽ«¶¯Á¦Ñ§ÇúÏßÉϵÄÌØÕ÷ÐÔÓ«¹âÇ¿¶È£¨ÈçFm_Ln£¬£¬£¬£¬£¬£¬£¬£¬n´ú±íµÚÒ»ÔÙÂö³å£©×÷Ϊ±äÁ¿£¬£¬£¬£¬£¬£¬£¬£¬ºÍÅÌËãÖµ£¨ÈçFv/Fm£©Ò»ÆðÊäÈëµ½Êýѧģ×ÓÖУ¬£¬£¬£¬£¬£¬£¬£¬´Ó¶øÉ¸Ñ¡³öÄܹ»·´Ó¦Ð²ÆÈˮƽµÄÌØÕ÷²ÎÊý¡£¡£¡£¡£¡£¡£¡£¡£ºóÕ߿ɲο¼ÒÔÏÂÂÛÎÄ£º
ÁúÑà, ÂíÃô¾ê, ÍõÓ¢ÔÊ,µÈ. ʹÓÃÒ¶ÂÌËØÓ«¹â¶¯Á¦Ñ§²ÎÊýʶ±ðÃçÆÚ·¬ÇѸɺµÐ²ÆÈ״̬[J]. ũҵ¹¤³Ìѧ±¨, 2021, 37(11):8.
20.Ò¶ÂÌËØÓ«¹âÕÉÁ¿ÊÖÒÕÓë¹âºÏÒǵÄÇø±ð£¿£¿£¿£¿£¿£¿
´ð£ºÁ½Õß¶¼ÊÇÑо¿Ö²ÎïºÍÔåÀà¹âºÏ×÷ÓõÄÓÐÓù¤¾ß£¬£¬£¬£¬£¬£¬£¬£¬¿ÉÊÇ×ÅÖØ²î±ð¡£¡£¡£¡£¡£¡£¡£¡£
¹âºÏÒÇÖ÷ÒªÕÉÁ¿Ö²ÎïµÄºê¹Û²ÎÊý£¬£¬£¬£¬£¬£¬£¬£¬Èç¹âºÏËÙÂÊ¡¢ÕôÌÚËÙÂÊ¡¢Æø¿×µ¼¶È¡¢°û¼äCO2Ũ¶ÈµÈ£¬£¬£¬£¬£¬£¬£¬£¬ÒÔÆÀ¹ÀȨºâÖ²Îï¹âºÏ×÷ÓõÄÇ¿¶ÈºÍÄÜÁ¦£¬£¬£¬£¬£¬£¬£¬£¬²¢±êÅä»ò¿ÉÑ¡Åä΢ÌìÆø¿ØÖÆÈç¹â¡¢Î¡¢Êª¡¢CO2Ä£¿£¿£¿£¿£¿£¿é¡£¡£¡£¡£¡£¡£¡£¡£
Ò¶ÂÌËØÓ«¹â²»µ«ÄÜ·´Ó¦¹âÄÜÎüÊÕ¡¢Òý·¢ÄÜת´ïºÍ¹â»¯Ñ§·´Ó¦µÈ¹âºÏ×÷ÓõÄÔ³õ·´Ó¦Àú³Ì£¬£¬£¬£¬£¬£¬£¬£¬²¢ÇÒÓëµç×Óת´ï¡¢ÖÊ×ÓÌݶȵĽ¨Éè¼°ATPºÏ³ÉºÍCO2Àο¿µÈÀú³ÌÓйأ¬£¬£¬£¬£¬£¬£¬£¬ÊÇÑо¿Ö²Îï¹âºÏ×÷Óõġ°Ì½Õ롱¡£¡£¡£¡£¡£¡£¡£¡£
Á½ÕßÍŽáÕÉÁ¿ÔÚÖ²Îï¹âºÏÐÄÀíÑо¿ÖпÉÒÔÓÐÓû¥²¹£¬£¬£¬£¬£¬£¬£¬£¬¿ÉÆÕ±éÓ¦ÓÃÓÚȨºâÖ²ÎïÉú³¤×´Ì¬£¬£¬£¬£¬£¬£¬£¬£¬²î±ðвÆÈ´¦Öóͷ£¶ÔÖ²Îï¹âϵͳµÄÓ°Ï죬£¬£¬£¬£¬£¬£¬£¬ÆÀ¼ÛÉú̬ϵͳ̼ÊÕÖ§ÓëÈ«ÇòÌìÆø×ª±äµÄÏ໥¹ØÏµ£¬£¬£¬£¬£¬£¬£¬£¬Ö²Îï¹âϵͳ¶ÔÈ«Çòת±äÏìÓ¦µÈ·½Ãæ¡£¡£¡£¡£¡£¡£¡£¡£
21.À¶Ôå¹âºÏ²ÎÊýµÄ²â¶¨
´ð£ºÓÉÓÚÀ¶¹âÎÞ·¨Òý·¢À¶ÔåPSIIÖ÷ÒªµÄÌìÏßÉ«ËØÔåµ¨ËØ£¬£¬£¬£¬£¬£¬£¬£¬Ö»ÄÜÒý·¢Ò¶ÂÌËØ£¬£¬£¬£¬£¬£¬£¬£¬¶øÀ¶ÔåÖÐPSIÖеÄÒ¶ÂÌËØÒª¶àÓÚPSII£¬£¬£¬£¬£¬£¬£¬£¬Õâ»áʹPQ¿â²¿·ÖÑõ»¯£¬£¬£¬£¬£¬£¬£¬£¬ÒÔÊÇÐèҪѡÔñÀ¶¹âÒÔÍâµÄÒý·¢¹âÔ´£¬£¬£¬£¬£¬£¬£¬£¬ÈçUV365nm¡¢cyan470nm¡¢green530nm¡¢orange625nn¡£¡£¡£¡£¡£¡£¡£¡£
Î÷°²Ñз¢ÖÐÐÄ
΢ÐŹ«ÖÚºÅ
ÓªÒµ×Éѯ
ÕÅÏÈÉú
º£ÑóÖ®Éñ590¹ÙÍøÈë¿Ú¹«Ë¾
΢ÐŹ«ÖÚºÅ
º£ÑóÖ®Éñ590¹ÙÍøÈë¿Ú¹«Ë¾
ÊÓÆµºÅ
ÁªÏµº£ÑóÖ®Éñ590¹ÙÍøÈë¿Ú£º
µØÖ·: ±±¾©Êк£µíÇø¸ßÀïÕÆÂ·3ºÅÔº6ºÅÂ¥1µ¥Î»101B
µç»°: 010-82611269/1572
´«Õæ: 010-62465844
Email: info@eco-tech.com.cn
ÓÑÇéÁ´½Ó£º
