º£ÑóÖ®Éñ590¹ÙÍøÈë¿Ú

¡ª Éú̬ ¡¤ ũҵ ¡¤ ¿µ½¡ ¡ª
²úÆ·¿ìѶ
º£ÑóÖ®Éñ590¹ÙÍøÈë¿ÚÖúÁ¦Î÷±±É³ÉúÖ²Îï½µÓê˳ӦÐÔÑо¿ Õ¹ÏÖÂã¹ûľ¹âºÏÓ뿹Ñõ»¯ÏìÓ¦»úÖÆ
ʱ¼ä£º2025-12-04    ×÷Õߣºº£ÑóÖ®Éñ590¹ÙÍøÈë¿Ú µã»÷Á¿£º

  ¸ÊËàũҵ´óѧÑо¿ÍŶÓÔÚ¡¶Forests¡·½ÒÏþÑо¿Ð§¹û£¨Haixia HuangµÈ£¬£¬£¬£¬£¬£¬£¬2023Ä꣩£¬£¬£¬£¬£¬£¬£¬ÏµÍ³Ì½ÌÖÁËÄ£Äâ½µÓêת±ä¶ÔÕäÏ¡æÝÒÅÖ²ÎïÂã¹ûľ£¨Gymnocarpos przewalskii£©¹âºÏÌØÕ÷Ó뿹Ñõ»¯ÏµÍ³µÄÓ°Ïì¡£¡£¡£ ¡£¡£ÔÚ¸ÃÑо¿ÖУ¬£¬£¬£¬£¬£¬£¬º£ÑóÖ®Éñ590¹ÙÍøÈë¿Ú¹âºÏ±íÐÍÕÉÁ¿¼Æ»®µÄÓ¦Ó㬣¬£¬£¬£¬£¬£¬Îª¾«×¼ÆÊÎöɳÉúÖ²Îï¶Ô½µË®×ª±äµÄ˳ӦսÂÔÌṩÁËÒªº¦ÊÖÒÕÖ§³Ö¡£¡£¡£ ¡£¡£

Ê×Ò³| º£ÑóÖ®Éñhy590×îйٷ½ÍøÕ¾

Âã¹ûľ×÷ΪµÚÈý¼Í²ÐÒÅÎïÖÖ£¬£¬£¬£¬£¬£¬£¬Ö÷ÒªÂþÑÜÓÚÖйúÎ÷±±É³Ä®µØÇø£¬£¬£¬£¬£¬£¬£¬¶Ôά³Ö»ÄÔ­Éú̬ƽºâ¾ßÓÐÖ÷Òª×÷Óᣡ£¡£ ¡£¡£Ëæ×ÅÈ«ÇòÌìÆø×ª±ä¼Ó¾ç£¬£¬£¬£¬£¬£¬£¬Î÷±±¸ÉºµÇø½µË®ÃûÌò¨¶¯ÏÔÖø£¬£¬£¬£¬£¬£¬£¬Ã÷È·¸ÃÎïÖÖµÄË®·Ö˳Ӧ»úÖÆ¶ÔÉú̬±£»£»£»£»£»¤ÖÁ¹ØÖ÷Òª¡£¡£¡£ ¡£¡£

Ñо¿ÉèÖà 5 ¸ö½µÓêÌݶȣ¨»ù×¼Öµ±15%¡¢±30% ¼°»ù×¼Öµ£©£¬£¬£¬£¬£¬£¬£¬½ÓÄɺ£ÑóÖ®Éñ590¹ÙÍøÈë¿Ú¹âºÏ±íÐͼƻ®²â¶¨Âã¹ûľÓ×ÃçµÄ¾»¹âºÏËÙÂÊ¡¢ÕôÌÚËÙÂÊµÈÆøÌå½»Á÷²ÎÊý£¬£¬£¬£¬£¬£¬£¬²¢Í¨¹ý¹âÏìÓ¦ÇúÏ߯ÊÎö»ñµÃ±í¹ÛÁ¿×ÓЧÂÊ¡¢×î´ó¹âºÏËÙÂʵȽ¹µãÖ¸±ê¡£¡£¡£ ¡£¡£Ð§¹ûÏÔʾ£¬£¬£¬£¬£¬£¬£¬½µÓêÔöÌíÏÔÖøÌáÉýÂã¹ûľ¾»¹âºÏËÙÂʺÍÕôÌÚËÙÂÊ£¬£¬£¬£¬£¬£¬£¬¶ø½µÓêïÔ̭ʱ£¬£¬£¬£¬£¬£¬£¬¾»¹âºÏËÙÂÊϽµÓÉÆø¿×ÏÞÖÆ£¨ïÔÌ­ 15%£©ºÍ·ÇÆø¿×ÏÞÖÆ£¨ïÔÌ­ 30%£©ÅäºÏµ¼Ö£¬£¬£¬£¬£¬£¬£¬Í¬Ê±Ò¶Æ¬Ë²Ê±Ë®·ÖʹÓÃЧÂÊÏÔÖøÌá¸ß¡£¡£¡£ ¡£¡£

Ê×Ò³| º£ÑóÖ®Éñhy590×îйٷ½ÍøÕ¾

ͼ1. ½µÓêת±ä¶ÔÂã¹ûľҶƬ¹âºÏÌØÕ÷²ÎÊýµÄÓ°Ïì

Ê×Ò³| º£ÑóÖ®Éñhy590×îйٷ½ÍøÕ¾

ͼ 2. ½µÓêת±äϵĹâÏìÓ¦ÇúÏߣ¨Pn–PAR£©

±í 1. ²î±ð½µÓê´¦Öóͷ£ÏÂÂã¹ûľҶƬµÄ¹âÏìÓ¦²ÎÊý

Ê×Ò³| º£ÑóÖ®Éñhy590×îйٷ½ÍøÕ¾

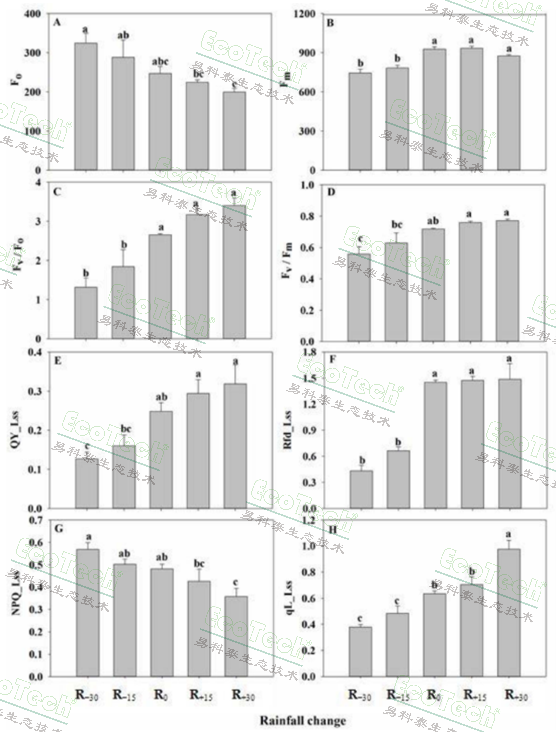
  º£ÑóÖ®Éñ590¹ÙÍøÈë¿Ú¹âºÏ±íÐͼƻ®ÖеÄÒ¶ÂÌËØÓ«¹â³ÉÏñϵͳÔò¾«×¼²¶»ñÁ˽µÓêת±ä¶ÔÂã¹ûľ¹âϵͳ II£¨PSII£©¹¦Ð§µÄÓ°Ïì¡£¡£¡£ ¡£¡£Êý¾ÝÅú×¢£¬£¬£¬£¬£¬£¬£¬½µÓêïÔÌ­µ¼ÖÂÒ¶ÂÌËØº¬Á¿Ï½µ£¬£¬£¬£¬£¬£¬£¬PSII ×î´ó¹â»¯Ñ§Ð§ÂʺÍÎÈ̬¹âѧÁ¿×ÓЧÂʽµµÍ£¬£¬£¬£¬£¬£¬£¬Òý·¢Ã÷ÏÔ¹âÒÖÖÆ£»£»£»£»£»¶ø½µÓêÔöÌíÔòÏÔÖø¸ÄÉÆÁËÕâЩӫ¹â²ÎÊý¡£¡£¡£ ¡£¡£Í¨¹ýÏà¹ØÐÔÆÊÎö£¬£¬£¬£¬£¬£¬£¬Ó«¹â²ÎÊýÓë¹âºÏ²ÎÊý·ºÆðÏÔÖø¹ØÁª£¬£¬£¬£¬£¬£¬£¬Ö¤ÊµÁËË®·ÖÌõ¼þ¶Ô¹âºÏ»ú¹¹¹¦Ð§µÄÖ±½Óµ÷¿Ø×÷Óᣡ£¡£ ¡£¡£

  ±ðµÄ£¬£¬£¬£¬£¬£¬£¬½µÓêïÔÌ­ 30% ʱ£¬£¬£¬£¬£¬£¬£¬Âã¹ûľҶƬÖг¬ÑõÒõÀë×Ӻ͹ýÑõ»¯Çâ´ó×Ú»ýÀÛ£¬£¬£¬£¬£¬£¬£¬Òý·¢Ä¤Ö¬¹ýÑõ»¯ËðÉË£»£»£»£»£»¶ø³¬Ñõ»¯ÎïÆç»¯Ã¸¡¢¹ýÑõ»¯ÎïøºÍ¹ýÑõ»¯Çâø»îÐÔͬ²½ÔöÇ¿£¬£¬£¬£¬£¬£¬£¬Ð­Í¬É¨³ý»îÐÔÑõ£¬£¬£¬£¬£¬£¬£¬»º½â¹âºÏ»ú¹¹ËðÉË¡£¡£¡£ ¡£¡£ÕâÒ»¿¹Ñõ»¯·ÀÓù»úÖÆµÄÕ¹ÏÖ£¬£¬£¬£¬£¬£¬£¬ÎªÃ÷ȷɳÉúÖ²ÎïµÄ¿¹ºµÕ½ÂÔÌṩÁËÖ÷ÒªÒÀ¾Ý¡£¡£¡£ ¡£¡£

Ê×Ò³| º£ÑóÖ®Éñhy590×îйٷ½ÍøÕ¾

ͼ 3. ½µÓêת±äÏÂÂã¹ûľҶƬҶÂÌËØÓ«¹â²ÎÊýµÄת±ä

Ê×Ò³| º£ÑóÖ®Éñhy590×îйٷ½ÍøÕ¾

±í 2. ¹âÏìÓ¦ÇúÏßÌØÕ÷²ÎÊýÓëÓ«¹â²ÎÊýÖ®¼äµÄÏà¹ØÐÔ

  ¹âºÏÒÇÓëÒ¶ÂÌËØÓ«¹â³ÉÏñµÄЭͬӦÓ㬣¬£¬£¬£¬£¬£¬ÊµÏÖÁË´ÓÆøÌå½»Á÷µ½¹âºÏ»ú¹¹ÄÚ²¿¹¦Ð§µÄÈ«·½Î»¼à²âÏ¢ÕùÎö£¬£¬£¬£¬£¬£¬£¬ÎªÁ¿»¯½µÓêת±ä¶ÔÖ²ÎïÐÄÀíÌØÕ÷µÄÓ°ÏìÌṩÁ˿ɿ¿ÊÖÒÕÊֶΡ£¡£¡£ ¡£¡£¸ÃÑо¿Ð§¹û²»µ«ÆÊÎöÁËÂã¹ûľ¶Ô½µË®×ª±äµÄ˳Ӧ»úÖÆ£¬£¬£¬£¬£¬£¬£¬Ò²ÎªÎ÷±±¸ÉºµÇø»ÄÔ­Ö²Îï×ÊÔ´±£»£»£»£»£»¤¡¢Éú̬ϵͳÐÞ¸´ÌṩÁË¿ÆÑ§Ö§³Ö¡£¡£¡£ ¡£¡£

º£ÑóÖ®Éñ590¹ÙÍøÈë¿ÚÒÇÆ÷ÍÆ¼ö

LCi T Óë LCpro T ±ãЯʽ¹âºÏ×÷ÓÃÕÉÁ¿ÒÇ

  • ¸ß¶È¼¯³É-ÎȹÌ-±ãЯ£¬£¬£¬£¬£¬£¬£¬LCi T Ϊ³¬±ãЯʽ£¨4kg£©£¬£¬£¬£¬£¬£¬£¬LCpro T ΪÖÇÄÜÐÍ£¨¾ß±¸Î¶ȡ¢Êª¶È¡¢CO2 ¿ØÖƵȣ©
  • ²ÊÉ«´¥ÃþÆÁ¡¢¸ß¼¶¿ÉÊÓ»¯Í¼ÐνçÃæ
  • ÄÚÖà GPS È«Çò¶¨Î»ÏµÍ³£¬£¬£¬£¬£¬£¬£¬×Ô¶¯¼Í¼ÿһ´ÎÒ°ÍâÕÉÁ¿µÄλÖÃÐÅÏ¢
  • ÖÇÄÜ RGB ÈýÉ«»ò°×É« LED µ÷¿Ø¹âÔ´
  • ¶àÑù»¯ÕÉÁ¿ÊÒ£¬£¬£¬£¬£¬£¬£¬Öª×ãÖÖÖÖҶƬ¡¢¹ûʵ¡¢¾¥¸Ë¡¢¼°ÍÁÈÀºôÎü¡¢ÈºÂä¹âºÏ-ºôÎüÕÉÁ¿ÐèÇó
  • ¿ÉÀ©Õ¹ÓëÒ¶ÂÌËØÓ«¹âÒÇ¡¢Ò¶ÂÌËØÓ«¹â³ÉÏñÍŽáÖÜÈ«ÕÉÁ¿Ñо¿¹âºÏ×÷ÓÃ
  • ÐÂÐÍï®Àë×Óµç³ØÐøº½¿É´ï 16 Сʱ

Ê×Ò³| º£ÑóÖ®Éñhy590×îйٷ½ÍøÕ¾

APS£¨Automated Photosynthesis System£©¶àͨµÀ¹âºÏ×÷ÓÃÕÉÁ¿¼à²âϵͳ

  • ¹ú¼ÊÉÏÊ׿îÈ«×Ô¶¯¶àͨµÀ¹âºÏ×÷ÓÃÕÉÁ¿¼à²âϵͳ
  • ׼ȷÕÉÁ¿ CO2¡¢H2O¡¢´óÆøÑ¹µÈÊý¾Ý
  • ÆÊÎöÒÇ¿ÉÅþÁ¬ 5 »ò 10 ¸öÒ¶ÊÒ£¬£¬£¬£¬£¬£¬£¬ ÏÕЩÏ൱ÓÚ 5 »ò 10 ̨ LCi-T ¹âºÏÒÇ
  • ¹Ü·¿ÉÔÚÉú³¤ÊÒ/ÎÂÊÒÄÚÎÞÏÞÑÓÉ죬£¬£¬£¬£¬£¬£¬´Ó¶øÊµÏÖÎÂÊÒÕÉÁ¿¼à²âÈ«ÁýÕÖ
  • 10 ͨµÀϵͳµÄÖØÁ¿½öΪ55kg

Ê×Ò³| º£ÑóÖ®Éñhy590×îйٷ½ÍøÕ¾

Ò¶ÂÌËØÓ«¹âÊÖÒÕ

  • FluorPen ÊÖ³ÖʽҶÂÌËØÓ«¹âÒÇ£¬£¬£¬£¬£¬£¬£¬Ò¶ÂÌËØÓ«¹âÊÖÒյēÈðÊ¿¾üµ¶”
  • FluorCam Ò¶ÂÌËØÓ«¹â³ÉÏñÊÖÒÕ£¬£¬£¬£¬£¬£¬£¬¹ú¼Ê×ÅÃûÆ·ÅÆ
  • FluorTron® Ò¶ ÂÌ ËØ Ó« ¹â ³É Ïñ ¼¼ Êõ £¬£¬£¬£¬£¬£¬£¬ Ò¶ ÂÌ ËØ Ó« ¹â ¶¯ ̬ £¨ time-resolved £© Óë ¹â Æ×£¨time-resolved£©³ÉÏñ£¬£¬£¬£¬£¬£¬£¬ÖÜÈ«ÆÊÎöÒ¶ÂÌËØÓ«¹â

Ê×Ò³| º£ÑóÖ®Éñhy590×îйٷ½ÍøÕ¾

×óͼ FluorTron®Ò¶ÂÌËØÓ«¹â³ÉÏñ´óÌï¼à²â£»£»£»£»£»ÖÐͼ£ºÒ¶ÂÌËØÓ«¹â³ÉÏñ£»£»£»£»£»ÓÒͼ£ºÒ¶ÂÌËØÓ«¹â¹âÆ×¶¯Ì¬£¨EcoTech® ʵÑéÊÒÌṩ£©

- ·µ»ØÁбí -
¿´²»Ç壿£¿ £¿£¿£¿£¿»»Ò»ÕÅ
{{isLoading?'ÉúÑÄÖÐ':'ÉúÑÄ'}}
Ê×Ò³| º£ÑóÖ®Éñhy590×îйٷ½ÍøÕ¾

Î÷°²Ñз¢ÖÐÐÄ

΢ÐŹ«ÖÚºÅ

Ê×Ò³| º£ÑóÖ®Éñhy590×îйٷ½ÍøÕ¾

ÓªÒµ×Éѯ

΢ÐźÅ

Ê×Ò³| º£ÑóÖ®Éñhy590×îйٷ½ÍøÕ¾

º£ÑóÖ®Éñ590¹ÙÍøÈë¿Ú¹«Ë¾

΢ÐŹ«ÖÚºÅ

Ê×Ò³| º£ÑóÖ®Éñhy590×îйٷ½ÍøÕ¾

º£ÑóÖ®Éñ590¹ÙÍøÈë¿Ú¹«Ë¾

ÊÓÆµºÅ

ÁªÏµº£ÑóÖ®Éñ590¹ÙÍøÈë¿Ú£º

µØÖ·: ±±¾©Êк£µíÇø¸ßÀïÕÆÂ·3ºÅÔº6ºÅÂ¥1µ¥Î»101B

µç»°: 010-82611269/1572

ÊÖ»ú: 13671083121

´«Õæ: 010-62465844

Email: info@eco-tech.com.cn

ÓÑÇéÁ´½Ó£º

X
1

QQÉèÖÃ

  • ¿Í·þ
5

µç»°ºÅÂë¹ÜÀí

  • ±±¾© 010-82611269 13671083121
6

¶þάÂë¹ÜÀí

Ê×Ò³| º£ÑóÖ®Éñhy590×îйٷ½ÍøÕ¾
ÍøÕ¾µØÍ¼